阅读 87

使用Python代码实现概率密度函数+常见期望与常见概率分布代码实现

 1 概率

1.1 概率与随机变量

  • 频率学派概率 (Frequentist Probability):认为概率和事件发⽣的频率相关。

  • 贝叶斯学派概率 (Bayesian Probability):认为概率是对某件事发⽣的确定程度,可以理解成是确信的程度。

  • 随机变量 (Random Variable):⼀个可能随机取不同值的变量。例如:抛掷⼀枚硬币,出现正⾯或者反⾯的结果

2 概率分布

2.1 概率质量函数

2.1.1 定义

对于离散型变量,我们先定义⼀个随机变量,然后⽤~符号来说明它遵循的分布:x∼P(x),函数P是随机变量x的PMF。

2.1.2 举例

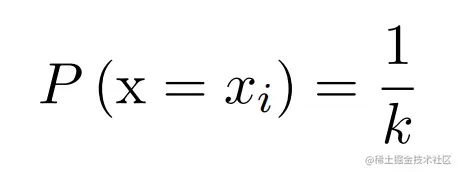
⼀个离散型x有k个不同的值,我们可以假设x是均匀分布的(也就是将它的每个值视为等可能的),通过将它的PMF设为

编辑

对于所有的i都成⽴。

2.2 概率密度函数

研究的对象是连续型时,可以引⼊同样的概念。

2.2.1 定义

如果⼀个函数 p 是概率密度函数:

编辑

2.2.2 举例

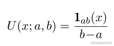
在 (a; b) 上的均匀分布:

编辑

 分母表示在(a,b)内为1,否则为0。

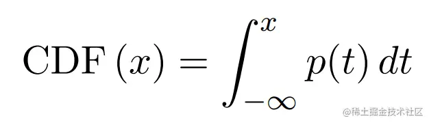
2.3 累积分布函数(Cummulative Distribution Function) 

累积分布函数表示对小于 x 的概率的积分:

编辑

2.4 代码实现:均匀分布

# 函数功能:返回范围内的均匀分布 import numpy as np import matplotlib.pyplot as plt from scipy.stats import uniform # 生成样本 fig, ax = plt.subplots(1, 1) r = uniform.rvs(loc=0, scale=1, size=1000) ax.hist(r, density=True, histtype='stepfilled', alpha=0.5) # numpy.linspace(start, stop, num=50, endpoint=True, retstep=False, dtype=None, axis=0) # (返回的是 [start, stop]之间的均匀分布) # start:返回样本数据开始点 # stop:返回样本数据结束点 # num:生成的样本数据量,默认为50 # endpoint:True则包含stop;False则不包含stop # retstep:即如果为True,则结果会给出数据间隔 # dtype:输出数组类型 # axis:0(默认)或-1 # 均匀分布 pdf x = np.linspace(uniform.ppf(0.01), uniform.ppf(0.99), 100) ax.plot(x, uniform.pdf(x), 'r-', lw=5, alpha=0.8, label='uniform pdf') plt.show() 复制代码

编辑

 2.5 条件概率与条件独立

2.5.1 边缘概率 (Marginal Probability)

如果已知⼀组变量的联合概率分布,但想了解其中⼦集的概率分布。这种定义在子集上的概率分布被称为边缘概率分布。

编辑

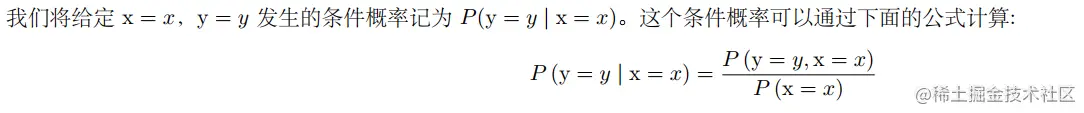
2.5.2 条件概率(Conditional Probability)

在很多情况下,我们感兴趣的是某个事件,在给定其他事件发⽣时出现的概率。这种概率叫做条件概率。

编辑

 2.5.3 条件概率的链式法则 (Chain Rule of Conditional Probability)

任何多维随机变量的联合概率分布,都可以分解成只有⼀个变量的条件概率相乘形式

编辑

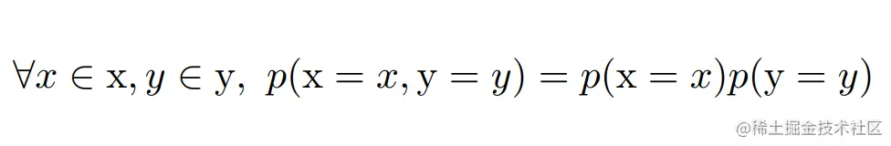
2.5.4 独立性 (Independence)

两个随机变量 x 和 y,如果它们的概率分布可以表⽰成两个因⼦的乘积形式,并且⼀个因⼦只包含 x 另⼀个因⼦只包含y,我们就称这两个随机变量是相互独⽴的。

编辑

2.5.5 条件独立性 (Conditional Independence)

如果关于 x 和 y 的条件概率分布对于 z 的每⼀个值都可以写成乘积的形式,那么这两个随机变量 x 和y 在给定随机变量 z 时是条件独⽴的。

编辑

 2.6 随机变量的度量

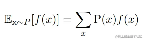
2.6.1 期望

期望(Expectation):函数f关于概率分布P(x)或p(x)的期望表⽰为由概率分布产⽣x,再计算f作⽤到x上后f(x)的平均值。

期望是线性的:

编辑

2.6.2 离散型随机变量的期望

通过求和得到:

编辑

2.6.3 连续型随机变量的期望

连续型随机变量可以通过求积分:

编辑

 2.6.4 方差(Variance)

衡量的是当我们对 x 依据它的概率分布进⾏采样时,随机变量 x 的函数值会呈现多⼤的差异,描述采样得到的函数值在期望上下的波动程度:

编辑

2.6.5 标准差 (Standard Deviation)

将⽅差开平⽅即为标准差。

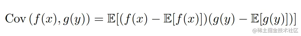
2.6.6 协方差

⽤于衡量两组值之间的线性相关程度:
编辑

独⽴⽐零协⽅差要求更强,因为独立还排除了非线性的相关。

2.7 代码实现:协方差

import numpy as np x = np.array([1,2,3,4,5,6,7,8,9]) y = np.array([9,8,7,6,5,4,3,2,1]) Mean = np.mean(x) Var = np.var(x) # 默认总体方差 Var_unbias = np.var(x, ddof=1) # 样本方差(无偏方差) Cov = np.cov(x,y) print("平均值:",Mean) #  5.0 print("总体方差:",Var) # 6.666666666666667 print("样本方差(无偏方差):",Var_unbias) # 7.5 print("协方差:",Cov) # [[ 7.5 -7.5] [-7.5  7.5]] 复制代码

3 常见概率分布

3.1 伯努利分布 (两点分布) (Bernoulli Distribution)

3.1.1 定义

编辑

 3.1.2 代码实现:伯努利分布

import numpy as np import matplotlib.pyplot as plt from scipy.stats import bernoulli def plot_distribution(X, axes=None):     """ 给定随机变量,绘制 PDF, PMF, CDF"""     if axes is None:         fig, axes = plt.subplots(1, 2, figsize=(10, 3))     x_min, x_max = X.interval(0.99)     x = np.linspace(x_min, x_max, 1000)     if hasattr(X.dist, 'pdf'): # 判断有没有 pdf,即是不是连续分布         axes[0].plot(x, X.pdf(x), label="PDF")         axes[0].fill_between(x, X.pdf(x), alpha=0.5) # alpha 是透明度, alpha=0 表示 100% 透明, alpha=100 表示完全不透明     else: # 离散分布         x_int = np.unique(x.astype(int))         axes[0].bar(x_int, X.pmf(x_int), label="PMF") # pmf 和 pdf 是类似的         axes[1].plot(x, X.cdf(x), label="CDF")     for ax in axes:         ax.legend()     return axes fig, axes = plt.subplots(1, 2, figsize=(10, 3)) # 画布 p = 0.3 X = bernoulli(p) # 伯努利分布 plot_distribution(X, axes=axes) plt.show() possibility = 0.3 def trials(n_samples):     samples = np.random.binomial(n_samples, possibility) # 成功的次数     proba_zero = (n_samples-samples)/n_samples     proba_one = samples/n_samples     return [proba_zero, proba_one] fig, axes = plt.subplots(1, 2, figsize=(10, 3)) # 一次试验, 伯努利分布 n_samples = 1 axes[0].bar([0, 1], trials(n_samples), label="Bernoulli") # n 次试验, 二项分布 n_samples = 1000 axes[1].bar([0, 1], trials(n_samples), label="Binomial") for ax in axes:     ax.legend() plt.show() 复制代码

编辑

 编辑

3.2 范畴分布 (分类分布) (Multinoulli Distribution) 

3.2.1 定义

范畴分布是指在具有 k 个不同值的单个离散型随机变量上的分布

3.2.2 代码实现:范畴分布 (分类分布) 

import numpy as np import matplotlib.pyplot as plt def k_possibilities(k):     """     随机产生一组 10 维概率向量     """     res = np.random.rand(k)     _sum = sum(res)     for i, x in enumerate(res):         res[i] = x / _sum     return res fig, axes = plt.subplots(1, 2, figsize=(10, 3)) # 一次试验, 范畴分布 k, n_samples = 10, 1 samples = np.random.multinomial(n_samples, k_possibilities(k)) # 各维度“成功”的次数 axes[0].bar(range(len(samples)), samples/n_samples, label="Multinoulli") # n 次试验, 多项分布 n_samples = 1000 samples = np.random.multinomial(n_samples, k_possibilities(k)) axes[1].bar(range(len(samples)), samples/n_samples, label="Multinomial") for ax in axes:     ax.legend() plt.show() 复制代码

编辑

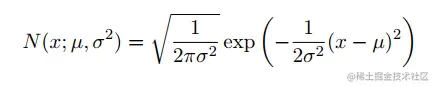
3.3 高斯分布 (正态分布)

3.3.1 定义

编辑

编辑

 中⼼极限定理 (Central Limit Theorem) 认为,⼤量的独⽴随机变量的和近似于⼀个正态分布,因此可以认为噪声是属于正态分布的。

3.3.2 代码实现:正态分布

import numpy as np import matplotlib.pyplot as plt from scipy.stats import norm def plot_distribution(X, axes=None):     """ 给定随机变量,绘制 PDF, PMF, CDF"""     if axes is None:         fig, axes = plt.subplots(1, 2, figsize=(10, 3))     x_min, x_max = X.interval(0.99)     x = np.linspace(x_min, x_max, 1000)     if hasattr(X.dist, 'pdf'): # 判断有没有 pdf,即是不是连续分布         axes[0].plot(x, X.pdf(x), label="PDF")         axes[0].fill_between(x, X.pdf(x), alpha=0.5) # alpha 是透明度, alpha=0 表示 100% 透明, alpha=100 表示完全不透明     else: # 离散分布         x_int = np.unique(x.astype(int))         axes[0].bar(x_int, X.pmf(x_int), label="PMF") # pmf 和 pdf 是类似的         axes[1].plot(x, X.cdf(x), label="CDF")     for ax in axes:         ax.legend()     return axes fig, axes = plt.subplots(1, 2, figsize=(10, 3)) # 画布 mu, sigma = 0, 1 X = norm(mu, sigma) # 标准正态分布 plot_distribution(X, axes=axes) plt.show() 复制代码

编辑

3.4 多元高斯分布 (多元正态分布)

3.4.1 定义

编辑

 3.4.2 代码实现:

import numpy as np from scipy.stats import multivariate_normal import matplotlib.pyplot as plt x, y = np.mgrid[-1:1:.01, -1:1:.01] pos = np.dstack((x, y)) fig = plt.figure(figsize=(4,4)) axes = fig.add_subplot(111) mu = [0.5, -0.2] # 均值 sigma = [[2.0, 0.3], [0.3, 0.5]] # 协方差矩阵 X = multivariate_normal(mu, sigma) # 多元高斯分布 axes.contourf(x, y, X.pdf(pos)) plt.show() 复制代码

编辑

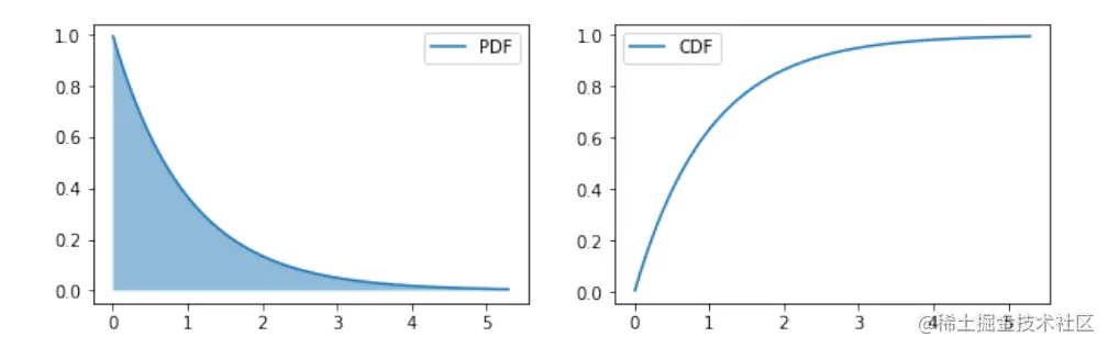
3.5 指数分布 (Exponential Distribution) 

3.5.1 定义

编辑

是用于在x=0处获得最⾼的概率的分布,其中λ>0是分布的⼀个参数,常被称为率参数。

3.5.2 代码实现:指数分布

import numpy as np import matplotlib.pyplot as plt from scipy.stats import expon def plot_distribution(X, axes=None):     """ 给定随机变量,绘制 PDF, PMF, CDF"""     if axes is None:         fig, axes = plt.subplots(1, 2, figsize=(10, 3))     x_min, x_max = X.interval(0.99)     x = np.linspace(x_min, x_max, 1000)     if hasattr(X.dist, 'pdf'): # 判断有没有 pdf,即是不是连续分布         axes[0].plot(x, X.pdf(x), label="PDF")         axes[0].fill_between(x, X.pdf(x), alpha=0.5) # alpha 是透明度, alpha=0 表示 100% 透明, alpha=100 表示完全不透明     else: # 离散分布         x_int = np.unique(x.astype(int))         axes[0].bar(x_int, X.pmf(x_int), label="PMF") # pmf 和 pdf 是类似的         axes[1].plot(x, X.cdf(x), label="CDF")     for ax in axes:         ax.legend()     plt.show()     return axes fig, axes = plt.subplots(1, 2, figsize=(10, 3)) # 定义 scale = 1 / lambda X = expon(scale=1) # 指数分布 plot_distribution(X, axes=axes) 复制代码

编辑

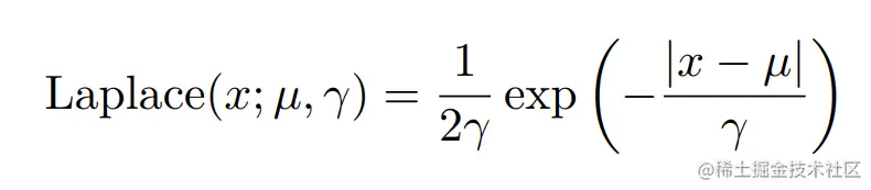
3.6 拉普拉斯分布(Laplace Distribution)

3.6.1 定义

编辑

 这也是可以在⼀个点获得⽐较⾼的概率的分布。

3.6.2 代码实现:拉普拉斯分布

import numpy as np import matplotlib.pyplot as plt from scipy.stats import laplace def plot_distribution(X, axes=None):     """ 给定随机变量,绘制 PDF, PMF, CDF"""     if axes is None:         fig, axes = plt.subplots(1, 2, figsize=(10, 3))     x_min, x_max = X.interval(0.99)     x = np.linspace(x_min, x_max, 1000)     if hasattr(X.dist, 'pdf'): # 判断有没有 pdf,即是不是连续分布         axes[0].plot(x, X.pdf(x), label="PDF")         axes[0].fill_between(x, X.pdf(x), alpha=0.5) # alpha 是透明度, alpha=0 表示 100% 透明, alpha=100 表示完全不透明     else: # 离散分布         x_int = np.unique(x.astype(int))         axes[0].bar(x_int, X.pmf(x_int), label="PMF") # pmf 和 pdf 是类似的         axes[1].plot(x, X.cdf(x), label="CDF")     for ax in axes:         ax.legend()     plt.show()     return axes fig, axes = plt.subplots(1, 2, figsize=(10, 3)) mu, gamma = 0, 1 X = laplace(loc=mu, scale=gamma) plot_distribution(X, axes=axes) 复制代码

编辑

3.5  Dirac 分布

编辑

 4 常用函数的有用性质

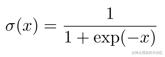
4.1 logistic sigmoid 函数

编辑

logistic sigmoid函数通常⽤来产⽣伯努利分布中的参数ϕ,因为它的范围是(0;1),处在ϕ的有效取值范围内。

sigmoid函数在变量取绝对值⾮常⼤的正值或负值时会出现饱和现象,意味着函数会变得很平,并且对输⼊的微⼩改变会变得不敏感。

4.2 softplus 函数

编辑

softplus函数可以⽤来产⽣正态分布的β和σ参数,因为它的范围是(0,∞)。当处理包含sigmoid函数的表达式时它也经常出现。

softplus函数名来源于它是另外⼀个函数的平滑(或软化)形式,这个函数是:

编辑

 4.3 代码实现: logistic sigmoid函数 + softplus函数

import numpy as np import matplotlib.pyplot as plt x = np.linspace(-10, 10, 100) sigmoid = 1/(1 + np.exp(-x)) softplus = np.log(1 + np.exp(x)) fig, axes = plt.subplots(1, 2, figsize=(10, 3)) axes[0].plot(x, sigmoid, label='sigmoid') axes[1].plot(x, softplus, label='softplus') for ax in axes:     ax.legend() plt.show() 复制代码


作者:掘金LiBiGo
链接:https://juejin.cn/post/7169035350248488997


文章分类
代码人生
版权声明:本站是系统测试站点,无实际运营。本文内容由互联网用户自发贡献,该文观点仅代表作者本人。本站仅提供信息存储空间服务,不拥有所有权,不承担相关法律责任。如发现本站有涉嫌抄袭侵权/违法违规的内容, 请发送邮件至 XXXXXXo@163.com 举报,一经查实,本站将立刻删除。
相关推荐